北京大学人民医院栗占国团队新突破:低剂量白介素-2为百万白塞病患者提供治疗新选择
近日,北京大学人民医院风湿免疫科栗占国教授团队在国际权威期刊Nature子刊Nature Communications在线发表了低剂量白介素-2(Ld-IL2)治疗白塞病(BD)的研究成果:“Efficacy and safety of low-dose interleukin 2 for Behçet’s syndrome: a randomized, placebo-controlled, double-blind, phase 2 clinical trial”。
该研究通过一项随机、双盲、安慰剂对照的II期临床研究首次证实,对于活动性白塞病,低剂量白介素-2疗效显著,达治疗终点,能够有效控制患者的病情活动,且安全性良好,这也是国际上第一次将Ld-IL2成功用于治疗白塞病的随机双盲对照研究。
百万患者的困境:罕见病不“罕见”,治疗缺口亟待填补
白塞病,一种听起来陌生的系统性自身免疫病,却已被列入我国第二批罕见病目录。尽管被归为“罕见病”,但受我国庞大人口基数影响,患病人群已达百万级别,且多数患者病程长、预后差,就诊率和缓解率均偏低。
这种疾病的危害远超想象,可累及全身多个脏器和系统,引发动脉瘤、肺栓塞、葡萄膜炎、肠道溃疡等严重并发症,极端情况下甚至危及生命。其中,复发性口腔溃疡是其最常见的临床表现,频繁发作的溃疡不仅带来剧烈疼痛,更严重影响患者的日常生活与进食质量。
更令人揪心的是,目前国内外尚无针对白塞病的适应症药物,传统治疗主要依赖沙利度胺、秋水仙碱等药物。这些药物不仅起效缓慢、需要长期服用,还伴随常见不良反应,且整体临床缓解率不高,难以有效控制病情进展,许多患者因此错失早期最佳治疗时机。
重磅研究出炉:Ld-IL2实现治疗新突破
为破解白塞病治疗难题,栗占国教授团队开展了一项随机、双盲、安慰剂对照的II期临床研究,这也是国际上首次将Ld-IL2成功用于白塞病治疗的此类研究。研究筛选了60名活动性白塞病患者,这些患者均对於外用激素或系统治疗药物疗效不佳,或无法耐受药物副作用。
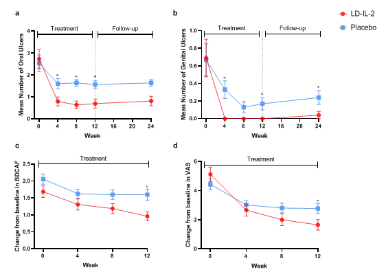
研究中,患者被随机分为两组,分别接受Ld-IL2治疗(100 万 IU ,皮下注射,隔日一次,治疗 12 周,后续随访 12 周。)和安慰剂治疗,核心观察终点包括治疗12周时的口腔溃疡数目、外阴溃疡数目、疼痛评分、疾病活动度评分及生活质量评分等多项指标,同时延伸观察至24周以评估疗效持续性。
研究结果令人振奋:治疗12周时,Ld-IL2组患者平均口腔溃疡数目仅为0.69±1.05个,显著低于安慰剂组的1.57±0.90个(P=0.001),差异具有统计学意义;外阴溃疡数目也明显少于安慰剂组。此外,在0-12周期间,Ld-IL2组患者的口腔溃疡疼痛评分(VAS)、白塞病疾病活动度评分(BSAS、BDCAF)及生活质量评分(BD-QOL)的改善程度,均显著优于安慰剂组。即使在24周的拓展观察期内,Ld-IL2仍能稳定改善患者的疾病活动状态。
免疫机制揭秘+良好安全性,为临床应用筑牢基础
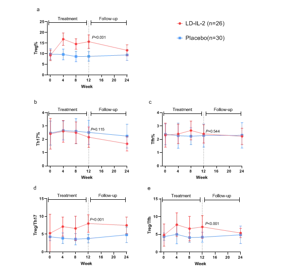
同期开展的免疫学分析,进一步揭示了Ld-IL2治疗白塞病的作用机制:它能显著提升患者体内调节T细胞(Treg)水平,同时快速下调效应T细胞(Teff)与Treg的比例,充分发挥了免疫稳态作用,实现对疾病的控制,从根源上发挥治疗作用。
更值得关注的是,Ld-IL2治疗的安全性表现优异。整个研究过程中,未出现感染及其他严重不良反应,这为其后续进入临床应用、惠及更多患者奠定了坚实的安全基础。
临床意义深远:开启白塞病治疗新篇章
这项研究的成功,不仅首次证实了Ld-IL2治疗活动性白塞病的有效性和安全性,更填补了该疾病新型治疗药物的临床空白,为百万白塞病患者提供了全新的治疗选择。
未来,随着研究的进一步推进,Ld-IL2有望成为白塞病治疗的新方案,改变传统治疗的困境,帮助更多患者摆脱复发性溃疡的折磨,有效控制病情进展,提升生活质量。北大人民医院团队的这一成果,也为自身免疫性疾病的免疫调节治疗提供了新的思路,彰显了我国在风湿免疫领域的研究实力。

